Un'introduzione alla Teoria dei Giochi

Decisioni strategiche e dilemmi sociali. Orientarsi fra le scelte con la teoria dei giochi1

  

Ariete. Anche se siete sicuri del fatto vostro

fate molta attenzione alle decisioni degli altri

 dall'oroscopo di Linda Wolf del 3 dicembre 2009

  

1. Introduzione 

Se devo decidere fra più opzioni possibili, e l'esito delle mie scelte dipende solo dall'opzione che seleziono, allora non è difficile capire come orientarsi per prendere una decisione: basterà scegliere l'opzione che mi permette di ottenere il miglior esito in base a una mia scala di preferenze.  In termini più formali, dette x1, x2, ..., xn le possibili opzioni fra le quali scegliere, e indicata con u(xk) una funzione che in qualche modo fornisce una misura della soddisfazione (o felicità per usare un termine molto impegnativo) derivante dalla scelta xk, allora sarà sufficiente confrontare gli n valori attesi u(x1),..., u(xn)  e optare per la scelta in corrispondenza della quale si ottiene il valore massimo della funzione u.

Il termine tecnico per indicare la funzione u è funzione di utilità, e quindi possiamo dire che il problema di scelta è ricondotto alla ricerca dell'argomento che rende massima la funzione di utilità. Non ci sono maggiori difficoltà se la variabile decisionale può variare con continuità su un certo intervallo, anziché assumere valori discreti, in quanto la ricerca del massimo assoluto (o dei massimi assoluti) di una funzione reale di variabile reale è in genere un problema di facile risoluzione con gli strumenti del calcolo infinitesimale. Infatti, la ricerca di condizioni necessarie e sufficienti per l'esistenza e l'unicità di massimi o minimi di funzioni è uno dei problemi classici dell'analisi matematica, che fornisce anche strumenti (le derivate) per il calcolo effettivo di tali punti. E in ogni caso metodi numerici implementati in macchine calcolatrici possono facilmente venire a capo dei problemi più ostinati.

La cosa diventa invece molto più difficile se l'esito della mia scelta dipende anche dalle decisioni prese da altri soggetti. In altre parole, l'utilità che mi aspetto da una mia scelta xk non è funzione della sola  xk ma anche delle decisioni di almeno un altro soggetto, sulle quali non ho in generale alcun controllo.  In altre parole, se l'altro soggetto ha m opzioni tra le quali selezionare la propria azione yi, con i=1,...,m, allora da ogni mia possibile scelta xk potrò ottenere m esiti diversi a seconda della scelta effettuata dall'altro. Potrei aspettare che l'altro decida e quindi regolarmi di conseguenza. Ma anche l'altro potrebbe ragionare allo stesso modo, rischiando di entrare in un circolo vizioso. In situazioni del genere si parla di decisioni in presenza di interazione strategica, e la questione si complica notevolmente, tanto che si è creato un apposito settore della matematica, la teoria dei giochi,  per affrontare in modo formale e logico simili problemi.

In questo articolo si introducono alcune notazioni e qualche principio di base della teoria dei giochi, per illustrarne l'efficacia attraverso alcuni esempi.

Nel prossimo paragrafo si cercherà di introdurre la problematica dell'interazione strategica analizzando un problema classico dell'economia, ovvero il passaggio tra un sistema di monopolio a uno di duopolio, problema che anche dal punto di vista storico è stato uno dei primi ad essere affrontato mediante ragionamenti tipici della teoria dei giochi.  Nel terzo paragrafo verrà introdotto un minimo di formalismo e di terminologia che caratterizzano la teoria dei giochi. Nel quarto e quinto paragrafo si analizzeranno alcuni particolari esempi di giochi che conducono a soluzioni apparentemente paradossali. Il paragrafo 6 conclude, fornendo indicazioni sulla crescente importanza della teoria dei giochi nelle scienze economiche e sociali.

 

2. Un esempio per iniziare: dal monopolio al duopolio

Il tipico problema di un produttore consiste nel decidere quanto produrre per rendere massimo il proprio profitto. Formalizziamo il problema indicando con q la quantità prodotta, che è la variabile decisionale, con c il costo unitario (cioè il costo per unità di quantità prodotta) e con p il prezzo unitario di vendita (il prezzo che viene pagato per una quantità unitaria). Il costo totale associato alla produzione q è C=cq, prodotto fra costo unitario e quantità prodotta, e il ricavo atteso è R=pq, prodotto fra prezzo unitario e quantità venduta. Pertanto il profitto atteso, differenza fra ricavo e costo, sarà

Π = R - C = pq-cq = (p-c)q.

Da questa semplice formula otteniamo il seguente Teorema: Se il prezzo di vendita è maggiore del costo unitario di produzione, in simboli se p>c, allora più è elevata la produzione q e più è elevato il profitto.

Ma se così fosse ogni produttore tenderebbe a produrre sempre di più e avremmo il pianeta ricoperto di fabbriche. Evidentemente qualcosa non va, e in effetti c'è un'ipotesi poco realistica, che consiste nell'assumere che tutto quello che si produce poi si vende. Un'ipotesi sicuramente da rivedere, perché ignora del tutto il ruolo dei consumatori i quali non sono sempre disposti ad acquistare tutta la produzione immessa nel mercato al prezzo preteso dal produttore. Allora il produttore, pur di non rimanere con merce invenduta, abbasserà i prezzi. In definitiva, il prezzo risulta essere una funzione decrescente della quantità. Il caso più semplice di funzione decrescente è la funzione lineare, p = a -bq, il cui grafico è una retta, dove a e b sono coefficienti positivi che esprimono, rispettivamente, l'intercetta della retta con l'asse dei prezzi (il massimo prezzo che i consumatori sono disposti a pagare quando la merce è molto rara) e il coefficiente angolare, ovvero la pendenza, della retta. Si può notare che per q=a/b si ottiene p=0, ovvero se la produzione è davvero eccessiva i consumatori non vorranno saperne di acquistare tutto quello che si produce, nemmeno se la merce venisse regalata.

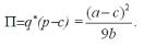
Con questa ipotesi, che rende più realistico il modello, cambia anche l'espressione dei profitti in funzione della quantità prodotta. Ora il ricavo, tenendo conto del legame fra prezzo e quantità, diventa R=pq=(a-bq)q, e di conseguenza avremo

Π = R-C = (a-bq)q -cq = – b q2 + (a – c) q

il cui grafico è una curva ben nota a ogni studente dei primi anni delle scuole medie superiori: una parabola concava, come quella in figura 1, caratterizzata da un punto di massimo, il vertice. In questo nuovo modello i profitti sono nulli non solo quando produco q=0 (ovviamente se non produco con guadagno) ma anche quando produco troppo, ovvero per q³(a-c)/b. E a metà fra questi due valori sta la produzione che mi dà il massimo guadagno.

Ma cosa succede se i produttori sono due, ovvero se invece di un monopolio abbiamo un duopolio?

È facile modificare il modello economico. Indichiamo le due imprese che producono lo stesso bene come impresa 1 e impresa 2 e siano q1 e q2 le rispettive quantità prodotte. Inoltre denotiamo con c1 e c2 i rispettivi costi unitari (in genere saranno diversi se le imprese usano diverse tecnologie per produrre, o pagano salari diversi ai lavoratori). Il prezzo corrente del bene, prodotto da entrambi, sarà ancora una funzione decrescente della quantità totale immessa nel mercato, solo che ora sono due le imprese ad arricchire il mercato del prodotto considerato, quindi

p = a – b ( q1 + q2).

Possiamo ora calcolare i rispettivi profitti:

Π1 = pq1 – c1q1  = [ a – b ( q1 + q2 )]q1 – c1q1

Π2 = pq2 – c2q2  = [ a – b ( q1 + q2 )]q2 – c2q2

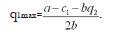
da cui risulta che il profitto del produttore 1 non dipende solo dalla sua produzione q1, che è quello su cui può decidere (la sua variabile decisionale), ma dipende anche dalla produzione del suo concorrente, cioè q2, sulla quale non ha alcun controllo. Anzi il produttore 1 nemmeno sa quanto il suo concorrente ha intenzione di produrre. Se lo sapesse potrebbe regolarsi di conseguenza, in quanto una volta nota q2 il produttore 1 può disegnare la ben nota parabola di equazione

Π1 = – bq12 + (a – c1 –bq2 )q1

che raggiunge il valore massimo in un punto che dipende dal valore di q2, dato da:

Poco male, penserà il produttore 1, aspetterò per vedere quanto decide di produrre il mio concorrente e poi mi regolerò di conseguenza, producendo la quantità q1max che ho appena calcolato. Ma il vero problema è che anche il produttore 2 si trova esattamente nella stessa situazione, e anche lui penserà che gli conviene attendere la decisione del produttore 1 per prendere la propria decisione. Sembra un circolo vizioso, un tipico problema senza soluzione.

Ma dove i ragionamenti sembrano troppo complicati ci vuole un po' di matematica per schematizzare le cose. Proprio quello che nel 1838 fece il matematico francese Antoine Augustin Cournot, che nel trattato Récherches sur les principes matématiques de la théorie de la richesse affrontò il problema come segue. Se il produttore 1 calcola, per ogni possibile produzione q2 del suo concorrente, la propria produzione ottimale, ottiene come grafico una retta (infatti q1max è una funzione di primo grado in q2) che rappresenta il luogo delle sue produzioni ottimali al variare della produzione del concorrente. Analogamente, il produttore 2 può calcolare, per ogni possibile produzione q1 del suo concorrente, la propria produzione ottimale q2max ottenendo anche lui come grafico una retta. Bene, disse Cournot, se riportiamo le due rette sullo stesso piano, come in fig. 2, si vede subito che esiste un solo punto ottimale per entrambi: il punto di intersezione. Calcolarlo è semplice: basta risolvere il seguente sistema lineare di due equazioni in due incognite q1 e q2:

2bq1+bq2=a-c1

bq1+2bq2=a-c2

Questa brillante soluzione costituisce un primo esempio di Equilibrio di Nash, introdotto in un contesto più generale nel 1950 dal matematico John Nash, diventato poi uno dei concetti centrali della teoria dei giochi.

3. Interazione strategica e principio di razionalità

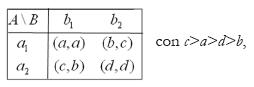
Cerchiamo ora di rappresentare, nel formalismo della teoria dei giochi, un problema di scelta che coinvolge l'interazione strategica fra due giocatori A e B. Siano a1, ...,an le n  azioni disponibili per il giocatore A e siano b1, ...,bm le m azioni fra cui può scegliere il giocatore B. L'utilità uA del giocatore A dipende sia dalla propria scelta che da quella di B, indichiamo con aij= uA(ai,bj) l'utilità (o payoff) che si aspetta il giocatore A in seguito alla propria scelta dell'azione ai e dell'azione bj da parte del giocatore B. Analogamente, sia bij= uB(ai,bj)  il payoff che si aspetta il giocatore B in seguito alla stessa coppia di scelte. La notazione utilizzata ci permette di sistemare il tutto sotto forma di matrici, dette matrici dei payoff, in cui si riportano le n strategie del giocatore A sulle righe le m del giocatore B sulle colonne, rispettando così la solita convenzione dell'algebra matriciale di intendere il primo pedice di ogni elemento come indice di riga e il secondo come  indice di colonna.

In realtà nella teoria dei giochi si introduce un ulteriore sintesi sostituendo le due matrici di payoff dei singoli giocatori con un'unica "bimatrice" che rappresenta il gioco, in cui si usa la convenzione che il primo numero in ogni casella rappresenta il payoff del giocatore di riga e il secondo quello del giocatore sulle colonne.

Fin qui solo questioni di notazioni, ma delle buone notazioni aiutano a ragionare meglio. Nel nostro caso il formalismo introdotto ci permette di affrontare la questione più delicata, che consiste nel definire cosa si intende per giocatore razionale, questione sulla quale ci sarebbero tante discussioni e distinzioni da fare, ma che nel caso della teoria classica dei giochi viene liquidata in maniera molto pragmatica definendolo come quell'individuo che preferisce un payoff maggiore a uno minore. Per essere più precisi introduciamo il seguente:

 Principio di razionalità. Un giocatore non sceglie l’azione x se ha a disposizione una scelta y che gli permetta di ottenere di più qualunque siano le scelte dell’altro (o degli altri) giocatori 

Chiariamo con un esempio, sfruttando le notazioni appena introdotte.  Consideriamo il gioco rappresentato dalla seguente bimatrice dei payoff, che si suppone essere nota a entrambi i giocatori.

È chiaro che, in base al principio di razionalità, il giocatore A non sceglierà mai la strategia a1 in quanto otterrebbe un payoff minore rispetto alla scelta alternativa, qualunque sia la decisione di B fra le tre strategie a sua disposizione.  A questo punto, sapendo che la scelta di A cadrà senz'altro su a2, osservando la seconda riga della matrice il giocatore B scarterà l'azione b3, mentre mostrerà indifferenza fra le opzioni b1 e b2. Potrebbe scegliere b1 se, a parità di payoff per sé, desidera danneggiare A, b2 se invece desidera favorirlo. Oppure potrebbe patteggiare con A dicendogli che è disposto a scegliere b2 a patto che A gli conceda una quota della maggiore vincita (3 invece di 2) che con tale scelta gli consente di ottenere. Ma in questo modo stiamo uscendo dalle regole del gioco, avventurandoci verso accordi cooperativi che ne costituiscono una possibile estensione.

Anche nel caso del duopolio di Cournot si potrebbero proporre diverse soluzioni ipotizzando accordi fra i due produttori. Supponiamo che i due produttori abbiano gli stessi costi, cioè c1=c2=c, e calcoliamo le coordinate dell'equilibrio di Cournot-Nash, q1*=q2*= q*=(a-c)/3b, da cui si ottiene il corrispondente prezzo p=a-b(q1*+q2*)=(a+2c)/3 e quindi il profitto individuale (che è lo stesso per entrambi)

Supponiamo ora che solo uno dei due produca, e che quindi decida di produrre la quantità che rende massimo il profitto del monopolista, q*=(a-c)/2b da cui p=(a+c)/2 e quindi Π=(a-c)2/4b.

Ebbene, se questo monopolista dividesse a metà il proprio profitto con il concorrente (che nel frattempo è rimasto disoccupato) guadagnerebbero (a-c)2/8b ciascuno, che è maggiore del profitto individuale nel caso di duopolio.  Quindi, invece di competere sarebbe conveniente stipulare uno dei seguenti accordi:

i) uno solo produce e poi si divide il profitto a metà;

ii) concordiamo di produrre ciascuno una quantità pari a (a-c)/4b, cioè inferiore all'equilibrio di Nash, e questo ci consentirà di mantenere più alti i prezzi e di conseguenza guadagnare ciascuno un po' di più.

Però, in ogni caso, occorre essere sicuri che i patti vengano rispettati. Insomma, è una questione di fiducia.

 

4. Fidarsi o non fidarsi? Il dilemma del prigioniero e le trappole sociali

Decidere se fidarsi o no degli altri può diventare difficile quando ci si trova a condividere gli stessi spazi, o le stesse risorse, o a suddividersi delle responsabilità senza avere la possibilità di controllare ciò che fanno gli altri.

Nel linguaggio della teoria dei giochi questo tipo di paradosso viene comunemente chiamato “dilemma del prigioniero”, dalla storiella che negli anni cinquanta fu proposta per illustrarlo. Vediamola insieme, anche per renderci conto che situazioni in apparenza del tutto diverse si prestano ad essere descritte dallo stesso modello matematico. Il gioco fu proposto nel 1950 da Merrill Flood e Melvin Dresher, della Rand Corporation, per illustrare delle possibili implicazioni di una strategia nell'ambito della Guerra Fredda. La storiella da cui deriva il nome "dilemma di prigioniero" si deve invece ad Albert Tucker che volle in questo modo rendere il gioco più comprensibile. La storia riguarda due criminali arrestati dalla polizia, dopo un lungo inseguimento, perché sospettati di aver commesso una rapina. I due vengono sistemati in celle separate, e a ciascuno viene fatta la seguente proposta: “se denuncerai il tuo complice potrai usufruire dello sconto di pena previsto per i collaboratori e ti lasceremo libero, mentre il tuo complice rimarrà in prigione per dieci anni. Questa offerta però è valida solo se il tuo complice non farà altrettanto, perché se anche lui ti accuserà allora sarete dichiarati entrambi colpevoli e pur usufruendo dello sconto per aver collaborato, rimarrete in carcere 5 anni ciascuno. Resta inteso che se entrambi decidete di tacere non potremo incriminarvi, e potremo solo condannarvi a un anno di prigione ciascuno per guida pericolosa e detenzione di armi.

Questa situazione è rappresentata schematicamente, nel formalismo della teoria dei giochi, nella seguente matrice dei payoff:

Mettiamoci nei panni del prigioniero A (sulle righe) e valutiamo cosa conviene fare per ogni possibile strategia scelta da B (sulle colonne). Se B tace, allora ad A conviene accusare in quanto sarà libero invece di avere una condanna a un anno di prigione; se B sceglie di accusare, allora anche ad A conviene accusare in quanto sconterà cinque anni invece di dieci. Quindi, qualunque cosa faccia B, ad A conviene accusare in base al principio di razionalità enunciato sopra. Per B vale lo stesso ragionamento, il gioco è simmetrico. Quindi il principio di razionalità applicato ad entrambi i giocatori ci porta alla coppia di strategie (accusa, accusa) in corrispondenza della quale i prigionieri ottengono 5 anni di prigione ciascuno. Certo che, visto dall'esterno, la coppia di strategie (tace, tace) è sicuramente migliore. Ma per portarsi su quella strategia occorrerebbe uno spostamento diagonale, dalla casella in basso a destra a quella in alto a sinistra, che rappresenta un accordo fra i due, mentre i prigionieri non possono comunicare. Ma anche se si potessero accordare per tacere entrambi, cioè collaborare fra loro per raggiungere la coppia di strategie migliore, chi può garantire che l'accordo venga rispettato? In effetti c'è una forte tentazione a non rispettarlo (ovvero a defezionare) in quanto questo porterebbe chi defeziona ad essere liberato. Ecco il ruolo della fiducia, dei possibili accordi e del rischio che qualcuno non li rispetti, e se c'è questo rischio nessuno li rispetterà.

Un altro caso che si presta a un simile dilemma è quello della gestione delle risorse naturali ad accesso comune, come le popolazioni ittiche attraverso la pesca o il legname attraverso la deforestazione. Si parla di sfruttamento sostenibile quando il prelievo avviene in modo da non compromettere la capacità di rigenerarsi della risorsa, permettendo così di trasmetterla intatta alle generazioni successive. Invece uno sfruttamento eccessivo può condurre a situazioni di scarsità futura, fino a provocare alterazioni irreversibili della risorsa. Supponiamo, tanto per fissare le idee, di dover decidere quante sardine pescare nel mare Adriatico. Se ci fosse una sola società autorizzata a pescare, questa cercherebbe di prelevarne quantità non eccessive, cioè senza superare la capacità di riprodursi della popolazione di sardine, accontentandosi di guadagnare quel tanto che basta pur di preservare la risorsa intatta, e quindi assicurarsi la possibilità di continuare l’attività di pesca anche negli anni successivi.

Supponiamo ora che la pesca delle sardine nel mare Adriatico sia permessa anche a una seconda società. Entrambe sono consapevoli che occorre essere moderati nella pesca per preservare la risorsa, però la presenza dell’altra fa sorgere qualche dubbio. Infatti, è inutile che una società si limiti nella pesca se l’altra non fa altrettanto. Il titolare della prima società ragiona così “se io sono moderato, ma l’altro non lo è, allora io guadagno poco oggi e poco anche in futuro a causa della pesca dissennata del mio concorrente, mentre l’altra società fa un buon guadagno nell’immediato, perché pesca più di me. Poiché non mi fido delle scelte dell’altra società, per evitare un simile rischio decido di pescare in modo intensivo”. Un identico ragionamento lo farà anche l’altra società, e questo porterà alla peggior soluzione possibile (non solo per i profitti, ma anche dal punto di vista delle sardine).

Questa è una tipica situazione di interazione strategica, e la teoria dei giochi ne fornisce una sintetica rappresentazione utilizzando la seguente matrice dei payoff, in cui  i due giocatori, denotati simbolicamente con le lettere A e B,  possono scegliere fra due possibili strategie : sfruttare in modo moderato (atteggiamento cooperativo) o sfruttare in modo intensivo (atteggiamento competitivo).

Le coppie di numeri che compaiono nelle caselle rappresentano, con unità di misura del tutto arbitrarie, i profitti a lungo termine che ciascuno dei due ottiene dalla combinazione della propria strategia e quella dell'avversario: se entrambi adottano la strategia di sfruttare con moderazione, allora la popolazione si mantiene in buone condizioni ed entrambi ottengono un buon payoff, rappresentato convenzionalmente da 3 unità ciascuno (quindi un totale di 6). Se uno dei due sfrutta intensivamente mentre l’altro si comporta da moderato, la popolazione sarà in condizioni un po’ peggiori, e fornirà in tutto 5 unità, però il moderato avrà la peggio, ottenendo solo 1, mentre il pescatore con atteggiamento aggressivo otterrà 4. Se entrambi sfruttano in modo intensivo allora la popolazione verrà seriamente impoverita e fornirà ancor meno, 4 in tutto, e tale scarsa produzione andrà a ripartirsi equamente fra i due pescatori avidi, fornendo il magro raccolto di 2 unità per ciascuno. È evidente che la migliore coppia di strategie è data dallo sfruttamento moderato da parte di entrambi, in quanto il profitto complessivo risulta massimo in questa situazione (e la popolazione di sardine sta meglio). Invece, se i pescatori sono lasciati liberi di scegliere allora la soluzione del gioco sarà la peggiore possibile. Infatti, il giocatore A si renderà conto che se B è moderato allora gli conviene sfruttare intensivamente, perché così guadagna 4 anziché 3, mentre se B sfrutta intensivamente anche ad A conviene sfruttare intensivamente, perché così facendo prenderà 2 invece di 1. Lo stesso ragionamento vale per B e pertanto, in mancanza di un accordo (e della reciproca fiducia che l’accordo venga rispettato o di una legge che obblighi di rispettarlo) lo studio della matrice dei payoff ci porta a “dimostrare” che la soluzione sarà la peggiore possibile dal punto di vista dei guadagni collettivi (e anche dal punto di vista delle sardine). In altre parole, la ricerca del massimo rendimento individuale da parte di ciascun agente porterà al peggior rendimento collettivo. Si tratta di un cosiddetto “dilemma sociale”, in cui l’interesse dei singoli individui contrasta nettamente con l’interesse collettivo (o sociale), quasi un paradosso che contraddice l'ipotesi della "mano invisibile" di Adam Smith in base alla quale se ciascun individuo persegue l'ottimo individuale automaticamente emergerà la migliore situazione collettiva.

Non si può fare a meno di notare che le due situazioni presentate, pur riguardando circostanze e protagonisti assai diversi, obbediscono alla stessa logica di fondo. Questo si riflette sul fatto che i numeri che compaiono nelle due matrici, pur essendo diversi fra loro, si presentano con un medesimo ordinamento. Quindi vale la pena cercare di fare un piccolo sforzo che ci permetta di “andare oltre i numeri” e individuare una forma generale che rappresenti dei giochi, a due giocatori con due strategie ciascuno, che si configurano come “dilemmi del prigioniero”. Osservando i due casi particolari esposti sopra possiamo generalizzarli dicendo che tutti i giochi le cui matrici sono nella forma:

descrivono dilemmi di quel tipo.

Per verificare ciò proponiamo un’altra situazione che si presta ad essere rappresentata in quella forma (lasciando al lettore il compito di rappresentarla sotto forma di matrice). Supponiamo che un ricco collezionista di libri antichi abbia contattato, tramite internet, un giovane che ha ereditato la biblioteca del bisnonno. Si mettono d’accordo per effettuare uno scambio vantaggioso per entrambi: il ricco collezionista pagherà 10000 euro al giovane, il quale gli cederà 100 libri della preziosa biblioteca. Per non far sapere alle rispettive famiglie dello scambio, visto che la moglie del collezionista non sopporta che lui spenda tanto in libri e la famiglia del giovane non gradisce che la biblioteca venga smembrata, decidono di portare le due valigie (una piena di banconote, l’altra piena di libri) in un luogo lontano e poco illuminato e di scambiarle velocemente, senza avere neppure il tempo di controllare.

Dove sta il dilemma? Il problema è che il giovane, prima di partire, pensa: “se metto nella valigia della cartaccia, posso ottenere i soldi senza intaccare la biblioteca di famiglia”. Il collezionista pensa “se metto nella valigia dei soldi falsi posso avere i libri senza spendere”. Questi ragionamenti porteranno entrambi a sprecare tempo e denaro (per il carburante dell’auto) per effettuare un’operazione del tutto inutile, perdendo così l’opportunità di portare a termine un buon affare per entrambi (il collezionista desidera i libri, il giovane ha bisogno di soldi). Ma ciascuno pensa: “e se porto quanto pattuito per ricevere in cambio nulla”?

Un’altra situazione assimilabile al dilemma del prigioniero si verifica quando in un salone tutti parlano a voce via via più alta per farsi sentire dal vicino. Ci vorrebbe un accordo (condiviso e rispettato da tutti) di abbassare tutti i toni, ma poi se uno alza un po’ la voce...

Concludiamo questo paragrafo sui dilemmi sociali proponendo un gioco molto famoso, noto col nome di "Asta da un dollaro". Ne fornisco una versione espressa in euro, ma identica nella sostanza. Il gioco consiste nel mettere all'asta 100 euro, partendo da un’offerta iniziale di 1 euro. Chi offre di più si aggiudica i 100 euro, ma anche chi fa la seconda offerta paga, senza però vincere nulla.

Sembra una buona opportunità, abbiamo la possibilità di vincere 100 euro spendendone solo 1. Qualcuno rilancia offrendo 2, quindi tre ecc. Quando si arriva all'offerta di 50 euro ci rendiamo conto che il banditore ha già fatto un affare perché chi aveva offerto 49 euro, pur di non perderli, rilancia offrendone 51. Allora l'altro perderebbe i suoi 50 senza prendere nulla in cambio e rilancia a 52 e così via. Arrivati a 100 euro si vorrebbe smettere, ma a questo punto conviene offrire 101 se non vogliamo perdere tutto. Infatti, offrire 101 euro per averne 100 in cambio significa perdere solo 1 euro anziché perderne 99. Aste di questo tipo, realmente effettuare, sono arrivate a 300-350 euro, con un guadagno del 700% da parte del banditore!

Si tratta della tipica situazione in cui il vincitore paga un prezzo sproporzionato rispetto al premio che ottiene, e lo sconfitto paga un alto prezzo per una battaglia che non frutta nulla. La morale è che era meglio non accettare di partecipare. Sembra un esempio assurdo, eppure sono frequenti le situazioni in cui si vorrebbe uscire da una competizione che non è più conveniente, ma non lo si fa perché non si è disposti a perdere tutto quello che è stato impegnato fino a quel momento. Spesso le guerre hanno portato a simili conclusioni: si pensi alla guerra degli Stati Uniti in Vietnam, e tante altre.

 

5. Altre situazioni apparentemente paradossali legate all'interazione strategica

Quando dobbiamo scegliere fra un certo numero di opzioni possibili, ci sembra ovvio che se oltre alle opzioni disponibili se ne aggiungono altre (fermo restando quelle che c'erano già) la situazione non può che migliorare. Se ci dicessero di scegliere fra due possibilità di lavoro e poi ci chiedessero se vogliamo anche considerarne una terza oltre a quelle, la cosa ci farebbe solo piacere: male che vada, le prime due restano comunque disponibili. Sembra strano, ma questa affermazione non è affatto ovvia in presenza di interazione strategica. Consideriamo come esempio il gioco a rappresentato dalla seguente matrice [2]:

dalla quale è evidente, in base al principio di razionalità, che verrà scelta la coppia di strategie (a2, b2) che fornisce un payoff pari a 10 a ciascun giocatore. Ora aggiungiamo un'ulteriore strategia per ciascun giocatore, conservando intatta la sottomatrice associata alle due strategie già esistenti, come mostra la seguente matrice del gioco con tre strategie ciascuno:

È un semplice allargamento delle possibilità offerte, eppure l'effetto è tutt'altro che positivo: ora per ogni possibile decisione di B l'opzione più conveniente per A è la terza, e altrettanto dicasi per la scelta di B. Quindi l'esito del gioco risulterà (a3, b3)  con un payoff di solo 1 a testa, ben minore del 10 ottenuto con una opzione in meno. Questo dimostra quanto sia difficile la logica di scelta quando si deve interagire con le scelte degli altri.

Il seguente esempio risulta altrettanto controintuitivo, in quanto mostra che diminuendo tutti i payoff di un gioco si ottiene una soluzione migliore per entrambi i giocatori. Infatti, partendo dalla seguente matrice di payoff

è facile verificare che la soluzione porta alla coppia di strategie (a2, b2)  con relativi payoff pari a 5 per ciascuno, mentre diminuendo tutti i payoff come segue:

è facile constatare che la soluzione finisce nella coppia di strategie (a1, b1) con payoff pari a 8 per ciascuno. Un esempio di "decrescita felice"!

 

6. Conclusioni

Partendo da alcuni semplici esempi, e introducendo un minimo di formalismo matematico, oltre a un elementare principio di razionalità, questo articolo ha cercato di far assaporare (senza alcuna pretesa di approfondire) lo spirito con cui la teoria dei giochi studia i problemi di scelte in presenza di interazione strategica, ovvero le situazioni nelle quali i risultati conseguiti da un agente dipendono anche dalle scelte di altri. La nascita di questa disciplina è convenzionalmente collocata nel 1944, in corrispondenza alla pubblicazione della prima edizione della monografia Theory of Games and Economic Behavior scritta dal matematico John von Neumann e dall’economista Oskar Morgenstern.

L'esposizione superficiale, a tratti persino ludica, offerta in questo articolo non deve far pensare che la teoria dei giochi, a dispetto del suo nome, non sia una disciplina seria e rispettabile. Essa ha avuto un ruolo importante nelle strategie militari, in biologia (attraverso i cosiddetti giochi evolutivi) e ovviamente in campo economico e sociale, tanto che nel 1994 agli studiosi John C. Harsanyi, John F. Nash Jr. e Reinhard Selten è stato conferito il premio Nobel per l’Economia “per la loro pioneristica analisi degli equilibri nella teoria dei giochi non cooperativi”. Nel 2005, il premio è andato a Robert J. Aumann e a Thomas C. Schelling “per avere rafforzato la nostra comprensione dei conflitti e della cooperazione attraverso l’uso della teoria dei giochi”. Inoltre altri due premi Nobel sono scaturiti da applicazioni specifiche della teoria dei giochi, che possono essere etichettate col nome di “ingegneria dell’interazione strategica” (si veda Li Calzi, 2010). Infatti, nel 1996 James A. Mirrlees e William Vickrey hanno ricevuto il premio Nobel “per i loro fondamentali contributi alla teoria economica degli incentivi in condizioni di informazione asimmetrica”, e nel 2007 L. Hurwicz, Eric S. Maskin e Roger B. Myerson sono stati premiati “per aver gettato le fondamenta della teoria del mechanism design”.  Si rimanda il lettore ai testi citati nella bibliografia per trovare trattazioni più complete della teoria dei giochi e le sue applicazioni nei campi più disparati.

 

Bibliografia

A. Basile, M. Li Calzi “Chi ha detto che un matematico non può vincere il premio Nobel?”, in M. Emmer (a cura di), Matematica e Cultura 2000, Springer-Verlag Italia, Milano 2000.

K. Binmore “Fun and games: a text on Game theory”, Lexington (Mass), D.C.Health 1993.

G. Costa, P. Mori “ Introduzione alla Teoria dei Giochi”, Il  Mulino, Bologna 1994.

G. Gambarelli, “Giochi competitivi e cooperativi per applicazione a problemi decisionali di natura industriale, economica, commerciale militare, politica, sportiva”, Giappichelli, Torino 2003.

H. Gintis, "Game theory evolving", Princeton University Press, 2000.

D. M.Kreps, "Teoria dei giochi e modelli economici", Il Mulino, Bologna, 1992.

M. Li Calzi, "Recenti sviluppi nella teoria dei giochi: l’ingegneria strategica", Lettera Matematica Pristem n. 74-75, Springer-Verlag Italia, Milano 2010.

R. Lucchetti, "Passione per Trilli. Alcune idee dalla matematica", Springer-Verlag Italia, Milano 2007.

R. Lucchetti, "Di duelli, scacchi e dilemmi. La teoria matematica dei giochi", Bruno Mondadori, Milano 2001.

L. Méro, "Calcoli morali. Teoria dei giochi, logica e fragilità umana", Edizioni Dedalo, Bari 2000.

F. Patrone, “Decisori (razionali) interagenti”, edizioni PLUS, Pisa 2006.

S. Stahl "A gentle introduction to game theory", American Mathematyical Society, Providence 1999.

A. Taylor, A.M. Pacelli, "Mathematics and Politics. Strategy, Voting, Power, and Proof ", 2nd Edition, Springher-Verlag, 2009

J. von Neumann, O. Morgenstern "Theory of Games and Economic Behavior", Princeton University Pres, 1944.

1 Tratto dall'articolo di Gian Italo Bischi, "Decisioni strategiche e dilemmi sociali. Orientarsi fra le scelte con la teoria dei giochi", Thauma n. 04, Thauma Edizioni, Pesaro, pp. 151-177.

[2] Entrambi gli esempi di questo paragrafo sono tratti dal libro “Passione per Trilli” di Roberto Lucchetti.