Perché mi sono interessato alle questioni cinesi

La domanda che spesso mi sono sentito fare è stata: perché  ti sei interessato delle questioni cinesi?  Quali sono state le tue motivazioni?

In effetti, a parte le curiosità culturali giovanili risalenti al ’68, non avevo alcuna informazione sulla Cina. Tutto nacque con la conoscenza di un giovane matematico venuto a Palermo negli anni 1984/1985 dopo le aperture di Deng Xiaoping (Guang'an, Sichuan, 22.8.1904 – Pechino, 19.2.1997). La regione Sicilia aveva stipulato un gemellaggio con la regione del Guanxi e 4 giovani docenti universitari della città di Naning (capitale del Guanxi) vennero a Palermo per più di un anno. La Cina allora non era proprio di moda e io ero l’unico che avesse delle relazioni con Ou Yelin. Le mie curiosità personali su questa grande civiltà erano oggetto di discussioni con Ou Yelin e con il collega cinese che si occupava della lingua Wang Zuowu.

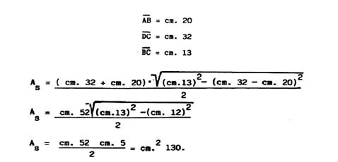
Le curiosità culturali si trasformarono in interessi quando i due amici cinesi mi presentarono un altro cinese che gestiva un ristorante e che doveva fare l’esame di licenza media. Accettai di prepararlo per l’esame. Tong, all’epoca, aveva 32 anni ed aveva frequentato in Cina durante la rivoluzione culturale la scuola media. L’obiettivo delle mie lezioni era quello inizialmente di cercare di riportare alla luce le conoscenze già acquisite, riorganizzarle e familiarizzare con i concetti matematici in lingua italiana. Ma la mia curiosità fu messa alla prova dalla risoluzione del suo primo problema: “Le basi di un trapezio rettangolo misurano cm 32 e cm 20, il lato obliquo cm 13. Calcolare l’area della superficie”. Ecco la risoluzione fedelmente trascritta:

fig. 1

A questo punto mi sono subito chiesto perché utilizzasse questo tipo di procedimento. Come mai in due soli passaggi riuscisse a risolvere il problema quando i nostri studenti impiegavano in media almeno una decina di passaggi?

La prima risposta a questa curiosità è stata quella di rivolgermi alla storia ed ho quindi acquistato i volumi di Needham appena tradotti in Italiano da Einaudi. Sono rimasto subito sorpreso di vedere introdotta l’opera da un capitolo riguardante la lingua cinese scritta. Il primo passo acquisito è stato dunque che la lingua naturale fa parte integrante della cultura scientifica di un popolo. Poi viene il resto. A proposito di una categoria di caratteri cinesi quali i composti per associazione o ideogrammi, Needham scrive (1981, vol I, pag. 36):

fig. 21

Nella lettura dei volumi di Needham, la parola “equazione” ritorna come un tormentone e lo sviluppo del pensiero algebrico, nei nove capitoli è predominante2. Non è presente alcuna traccia né di Aristotele, né tantomeno della logica aristotelica. Grazie al confronto con la cultura cinese, riesco ad avere una consapevolezza che la Geometria euclidea, come modello della logica aristotelica, rappresenta un elemento caratterizzante della cultura occidentale soprattutto perché rappresenta un ambiente per “argomentare, congetturare e dimostrare”.

Bisogna anche contestualizzare il periodo storico in cui avvengono queste esperienze. La Geometria euclidea stava lascando il passo ad altri linguaggi matematici, l’Informatica andava consolidando le sue discipline e la Matematica discreta cominciava ad entrare nei curricula di Matematica. Il ruolo della Geometria euclidea, come sistema ipotetico-deduttivo veniva in qualche modo rimpiazzato dallo studio dei linguaggi di calcolatori. In questo clima aver capito che lo strumento della Geometria euclidea era anche discriminante per “argomentare, congetturare e dimostrare” me lo fece rivalutare in modo assolutamente nuovo come strumento culturale determinante per la cultura occidentale. Tutto questo poi venne rinforzato dalle letture su Matteo Ricci, sul ruolo della Geometria euclidea nell’insegnamento dei Gesuiti in Europa, in Sicilia3 e nel mondo. Diciamo che, grazie alle riflessioni sulla cultura cinese, ho avuto la possibilità di riflettere sul sistema di riferimento della mia cultura.

Torniamo alla Cina. Durante la permanenza a Palermo dei colleghi cinesi ho fatto esperienze nelle classi italiane con l’amico Ou Yelin (Fig. 3), ho avuto modo di analizzare i testi scolastici cinesi di quel periodo storico4 (Fig. 4) ed informarmi con Ou Yelin del ruolo dell’insegnante nell’insegnamento della Matematica. I libri di testi, rispetto a quelli occidentali di quel periodo, risultavano essenziali; le copertine e le immagini tutte fatte a mano. Le dimostrazioni della Geometria euclidea ricalcavano quelle dei libri di testo italiani degli anni ‘50. Ma, parlando con Ou Yelin, sembrava che l’insegnante si comportasse diversamente a scuola. Utilizzava lo strumento algebrico in modo più forte di quanto non facessimo noi. Una possibile spiegazione poteva essere cercata nella struttura della lingua scritta. Mi ritornavano in mente sempre quelle parole di Needham “Tali equazioni costituiscono un sottofondo mentale per chi acquisti familiarità con la lingua” Gli amici cinesi mi davano quindi delle lezioni sulla lingua, sia scritta che parlata. Ero molto attratto dalla struttura della lingua scritta. Riprendevo, attraverso lo studio della combinazione dei diversi caratteri, dei radicali e del dizionario, alcuni di questi caratteri per “associazione” (o ideogrammi). Ora penso che un breve riferimento sulla lingua possa chiarire questo punto di vista.

fig. 35

fig. 4

 

I caratteri cinesi sono classificati in sette grandi categorie o meta-regole di composizione. L’ideogramma rappresenta, nella lingua cinese, una delle regole di composizione dei caratteri fondamentali. Needham riporta una classificazione in sei classi6 e li esamina così:

1.  Hsiang hsing, lett. «Forme delle immagini» (pittogrammi). Disegni ridotti all’essenziale, resi      convenzionali per poi essere stilizzati.

2.  Chih shih, lett. «Indicatori di situazioni» (simboli indiretti).

Hui i, lett. «Incontri di idee» (composti per associazione o composti logici).  Questa terza parte di caratteri è composta da combinazioni semantiche di due o più pittogrammi, che formano quelli che possiamo chiamare composti per associazione. Così fu, «moglie» è composto dai segni di donna, mano e scopa. Abbiamo, allora, una specie di equazione: li(campo)+tien(forza)=nan(uomo).

Tali «equazioni» costituiscono un sottofondo mentale semicosciente per chi acquisti familiarità con la lingua. Needham usa l’espressione “composti logici” in una nota, ritenendola non accettabile. Il suo punto di vista è quello occidentale dove l’espressione “logico” ha una connotazione storico-epistemologica del tutto differente. Ritengo, invece, che il riferimento alla Logica vada inteso nella specifica tradizione storico-epistemologica della cultura cinese. I “composti logici” rappresentano circa l’80% dei caratteri7. Ci sono parole composte da un solo ideogramma, da 2, da 3 etcc.

donna 女 + bambino 子 = piacere (alle donne piacciono i bambini)

Occhio 目 + le gambe di un uomo = vedere (ciò che l’uomo può fare con l’occhio)

Albero 木 + albero 木 + albero 木 = foresta

uomo (forma semplificata di 人) + albero 木 = riposo, sosta

Alcuni esempi di ideogrammi (huìyì 会意的) per associazione:

 rì 日, sole

yuè* 月, luna

míng 明, luminosità

奻 [nán] [nàn] litigare

男  nán, uomo;

如 [rú] (如果 rúguǒ) if; 如此 rúcǐ, come se, tale che

孝 [xiào] pietà filiale

教 [jiào] insegnare; 教育 jiàoyù, educazione

受 ricevere, accettare, essere sottomesso alla supervisione, sopportare

教 受 insegnare, dare, insegnante universitario. Sembrerebbe che l’ideogramma significhi dare e accettare

授 [shòu] dare; insegnare; 教授 jiàoshòu; professore

师 maestro, istitutore

老 vecchio, venerabile

老 师 lǎo shī

jiàoyuán 教员[-員] insegnante, istruttore /míng/wèi

员 persona impegnata in certi mestieri, competente. 

Analoga classificazione viene riportata in tutte le grammatiche cinesi e anche in altri testi di storia della scienza in Cina come nel volume della “Enciclopedia Treccani”.

fig. 6

 

Questa prima esperienza mi ha portato a riflettere sul ruolo della lingua naturale nella produzione dei linguaggi matematici. In effetti la storia della Matematica nelle due diverse culture ha prodotto effetti diversi. Nel caso della cultura occidentale, un peso molto forte ha avuto la Geometria euclidea sia come ambiente di insegnamento/apprendimento che come strumento logico-argomentativo. Nel caso cinese la lingua naturale ha inciso notevolmente per lo sviluppo di un certo pensiero algebrico.

Alla fine degli anni ’90 ho ripreso questi lavori sulla Cina anche con l’aiuto di alcuni componenti del G.R.I.M. (Gruppo di Ricerca Insegnamento/Apprendimento delle Matematiche, Dipartimento di Matematica ed Informatica, Università di Palermo  http://math.unipa.it/~grim/) cercando di studiare meglio i problemi di tipo logico-argomentativo e le relazioni tra Algebra e lingua scritta cinese scritta. Su questo ultimo aspetto si è sviluppata la tesi di PhD in Storia e Didattica delle Matematiche, della Fisica e della Chimica di Benedetto Di Paola (2009),  pubblicata anche sullo stesso sito del G.R.I.M. http://math.unipa.it/~grim/Tesi_it.htm. La tesi ha affrontato la problematica da un punto di vista teorico sperimentale attraverso tutta una serie di attività didattiche condotte in classi multiculturali con allievi cinesi ed italiani. Sarà questo l’argomento affrontato nei prossimi articoli.

 

Bibliografia

Ajello M., Spagnolo F., Z. Xiaogui. (2005), Reasoning Patterns and logical-linguistic Questions in European and Chinese Cultures: Cultural Differences in scholastic and non-scholastic Environments, Mediterranean Journal for Mathematics Education, Cyprus Mathematical Society (ISSN 1450-1104), Vol. 4, N. 2, pp. 27-65.

Chemla K. (2001), I “Nove capitoli sui procedimenti matematici”: la costituzione di un canone nella matematica, Storia della Scienza: Cina, India, Americhe, Istituto della Enciclopedia Italiana fondata da Giovanni Treccani S.p.a., pp. 133-153.

Chemla K. & Shuchun Guo. (2004), Les Neuf Chapitres, Ed. Dunod, Paris.

Shen Kangshen, John N.Crossley & Antony W.-C. Lun. (1999) The Nine Chapters on the Mathematical Art, Oxford University Press, Science Press – Beijing.

Di Paola B., Spagnolo F. (2009), Argumentation and Proving in Multicultural Classes: A didactical experience with Chinese and Italian students, Journal of Mathematics Education, December 2009, Vol. 2, No. 1, pp.1-14. Annually in hard copy (ISSN 1945-7502) and online (ISSN 1945-7 448).

Di Paola B., Spagnolo F. (2010), European and Chinese Cognitive Styles and their impact on Teaching/Learning Mathematics, Journal of Mathematics Education, December 2010, Vol. 3, No. 2, pp.139-153. Annually in hard copy (ISSN 1945-7502) and online (ISSN 1945-7 448).

Kosko B. (1995), Il Fuzzy Pensiero, Baldini&Castoldi, Milano. (Fuzzy thinking: the new Science of fuzzy logic, B. Kosko, 1993).

Needham J. (1981), Scienza e Civiltà in Cina. (Original title: Science and Civilisation in China, Cambrige University Press, 1959), I e II Vol., Einaudi.

Spagnolo F. (2005), Reasoning Patterns and logical-linguistic Questions in European and Chinese Cultures: Cultural Differences in scholastic and non scholastic Environments, The International Conference on School effectiveness and School improvement in China, University of Shenyang, China, (p. 76).

Spagnolo F. (1986), Sull’impostazione di certi metodi risolutivi dei problemi nella tradizione cinese, L’insegnamento della Matematica, vol. 9, n. 8, pp. 81-91.

Spagnolo F. (2003), Fuzzy logic, Fuzzy Thinking and the Teaching/Learning of Mathematics in multicultural Situations, General conference, Brno (Ceck Republic), International Conference on Mathematics Education into the 21st Century, pp. 17-28.

Spagnolo F., Di Paola B. (2010), European and Chinese Cognitive Styles and their impact on Teaching Mathematics, Springer, Studies in Computational Intelligence, ISBN 978-3-642-11679-7; ISSN 1860-949X.

 

Note

[1] La nota sulla parola “associazione”, a piè pagina, riporta “Karlgren, Chiang Yi ed altri li definiscono “composti logici”, ma il termine non è accettabile per le ragioni su esposte.”

[2] Gli studi linguistici da me consultati hanno sempre messo in evidenza lo studio della lingua parlata cinese, pochi i riferimenti alla parte scritta. La parola “equazione”, che ad un matematico evoca un campo semantico particolare, ad un non matematico potrebbe non dire proprio nulla.

[3] La prima edizione scritta della “ratio studiorum” (insieme di regole per l’insegnamento di tutte le discipline delle scuole gesuite) venne pubblicata a Messina nel 1599.

[4] I testi scolastici sino a quella data erano unici nel territorio nazionale. Spettava poi agli insegnanti interpretarli nella didattica quotidiana.

[5] Nella foto (in piedi da destra) Filippo Spagnolo, Ou Yelin, S. Terranova (insegnante). Scuola Elementare “Montegrappa”, Palermo 1985.

[6] Questa classificazione è apparsa durante la dinastia Han (206 a.C. – 220 d.C.). Xŭ Shèn nell’organizzare il dizionario Shuōwén jiězì, Spiegazioni sui caratteri semplici e analisi dei caratteri composti (121 d.C.), classificò i caratteri in sei categorie che chiamò liùshū (i sei principi della scrittura). La forma della scrittura, che si stabilizzò nell’ultima parte della dinastia Han chiamata kăishū, è quella che è in uso ancora oggi.

[7] La stragrande maggioranza dei caratteri cinesi appartiene alla categoria dei o caratteri composti; a sua volta consiste di due tipi base, huìyì e xíngshēng. La prima categoria è non-fonetica: un carattere huìyì (significati uniti) generalmente ha due componenti grafici i cui significati presi insieme suggeriscono un’altra parola; per esempio, secondo Xŭ Shèn, la parola “bosco” è data da due alberi. I caratteri huìyì formano una categoria abbastanza vasta; il processo, sebbene meno produttivo del processo di formazione dei xíngshēng, ha continuato a essere impiegato nella formazione di nuovi caratteri in tutta la storia cinese.