Numeri e binari: matematica ferroviaria

La matematica dei guasti: statistica e probabilità

Tutti i pendolari del mondo conoscono il principale problema dei treni: i guasti. Come tutte le macchine, i treni periodicamente subiscono malfunzionamenti e guasti con conseguenze spiacevoli per gli utenti e per gli operatori (come Trenitalia): ritardi, perturbazioni del traffico, treni soppressi, passeggeri inferociti, necessita di effettuare riparazioni a volte costose… Nei casi più sfortunati, possono capitare guasti che mettono a repentaglio la sicurezza dei passeggeri: deragliamenti, incendi, scontri tra treni.

Nella progettazione di un treno e possibile ridurre e arginare i guasti più critici, in particolare quelli con possibile impatto sulla sicurezza. Gli strumenti principali per raggiungere questo obiettivo sono la Statistica e la Teoria della probabilità, le aree della Matematica che studiano gli eventi casuali. Statistica e Probabilità non possono impedire i guasti, ne prevedere quando si verificheranno: i guasti sono fenomeni aleatori, imprevedibili. Il ruolo della Matematica e di individuare quali guasti sono possibili e quali sono più probabili degli altri: grazie alla Statistica, si può stimare ogni quanto tempo un guasto si potrà verificare in media. In questo modo, diventa possibile progettare un treno in cui i guasti più gravi, quelli che causano ritardi importanti o problemi di sicurezza, siano rari.

La legge di Poisson aiuta a descrivere la distribuzione nel tempo dei guasti. Per ogni componente, si può definire un tasso di guasto, chiamato λ, che rappresenta il numero di guasti (in media) che quel componente subirà in un’ora. L’inverso del tasso di guasto λ e il tempo che passa sempre (in media) prima che si verifichi un guasto: la si definisce MTBF (Mean Time Between Failures): MTBF = 1/ λ. Il tasso di guasto di ogni componente si può misurare su treni che già esistono, se quel componente e già stato utilizzato; altrimenti esistono formule che permettono di calcolarlo in base al tipo di componente, alla tecnologia utilizzata e alle condizioni di impiego.

Normalmente, i treni vengono utilizzati per molti anni, anche 30 o 40 anni. In un tempo cosi lungo, i suoi componenti sono soggetti a usura: i loro guasti diventeranno più frequenti con il passare del tempo e il tasso di guasto λ crescerà. Per contrastare questo fenomeno, lo strumento più efficace e la manutenzione del treno: tutte le sue parti devono essere controllate periodicamente e sostituite o riparate se mostrano i segni del tempo. In questo modo si possono prevenire molti guasti, in particolare sui convogli più vecchi.

Per garantire che i guasti più gravi siano rari, ad ogni treno vengono assegnati degli obiettivi di tasso di guasto da non superare, in base alle categorie di guasti. La tabella mostra gli obiettivi che sono stati assegnati a una metropolitana cinese. I diversi colori distinguono i guasti di sicurezza da quelli che causano ritardi e perturbazioni del servizio. Gli obiettivi per i guasti di sicurezza sono molto severi: 1 miliardo di ore corrispondono a più di 100 000 anni!

 

Ma che cosa si può fare, quando si progetta un treno, per raggiungere gli obiettivi assegnati?

Consideriamo una metropolitana su gomma: in alcune città (in cui e importante che i treni del metro possano accelerare e decelerare in fretta) i convogli invece delle ruote di ferro hanno le gomme, come le auto. Se un treno su gomma partisse con un freno tirato, i suoi pneumatici si potrebbero surriscaldare per l’attrito con le rotaie fino a esplodere o incendiarsi. Questo guasto potrebbe diventare pericoloso per la sicurezza dei passeggeri, che potrebbero rimanere intossicati. L’obiettivo e severo: MTBF > 1 miliardo di ore.

I freni non sono cosi affidabili. Allora e necessario progettare un sistema intelligente di controlli incrociati sullo stato del freno e dei motori, che impedisca al treno di ripartire se si accorge che un freno e rimasto bloccato.

In questo modo, per avere un incendio delle gomme, si devono verificare due guasti: il blocco del freno e un guasto al sistema di controllo. La probabilità di questo doppio guasto e sicuramente inferiore alla probabilità del semplice guasto del freno: Pr (Incendio) = Pr (Guasto Freno ∩ Guasto Controllo) = Pr (Guasto Freno) . Pr (Guasto Controllo) < Pr (Guasto Freno).

Frenare con il calore: stimare la temperatura di un reostato di frenatura

Molti treni sono mezzi a trazione elettrica: l’energia per farli muovere non viene dalla combustione della benzina ma dall’energia elettrica prelevata dalla catenaria, un filo elettrico che corre sopra i binari. I motori del treno trasformano l’energia da elettrica a cinetica.

La frenatura elettrica e il processo inverso della trazione elettrica: i motori rallentano il moto del treno e restituiscono energia elettrica. Il fatto che, frenando, si possa recuperare dell’energia elettrica rende la trazione elettrica molto più efficiente di quella a combustione: e come se, durante la frenatura, il motore dell’auto restituisse benzina! E grazie a questo meccanismo che le auto ibride recuperano energia elettrica durante la frenatura e abbattono i consumi rispetto alle auto tradizionali. Su un treno, l’energia elettrica che si recupera durante la frenatura può essere restituita alla rete elettrica tramite la catenaria. Se un altro treno nei dintorni sta accelerando e ha bisogno di energia, può utilizzarla.

Quando questo non e possibile, l’energia elettrica deve essere dissipata sotto forma di calore: viene incanalata in una grossa resistenza elettrica, il reostato di frenatura, che si scalda molto. Durante la frenatura, un reostato raggiunge temperature fino a 700°C.

Per questo si inserisce una sonda di temperatura sul reostato oppure si stima la temperatura tramite un modello termico che sfrutta le leggi della Fisica, in particolare l’analogia tra reti elettriche e reti termiche.

Costruiamo un modello elettrico che descrive il funzionamento della frenatura elettrica:

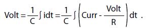
Il generatore di corrente Curr rappresenta la corrente che i motori restituiscono durante la frenatura. La corrente Curr si ripartisce tra il condensatore C, presente nella catena di trazione, e il reostato di frenatura rappresentato dalla resistenza R. Descriviamo l’evoluzione della tensione ai capi del reostato, Volt. Ai capi di una resistenza la tensione e proporzionale alla corrente: Volt = RiR.

Ai capi di un condensatore la corrente e proporzionale alla derivata nel tempo della tensione:

La corrente generata dal motore, Curr, si ripartisce tra il condensatore e il reostato:

Integrando l’equazione, si ottiene l’equazione differenziale che descrive l’evoluzione nel tempo della tensione:

Analogamente, si introduce il modello termico dello stesso circuito.

Per l’analogia tra reti elettriche e reti termiche, la temperatura ai capi del reostato ΔT varia secondo la stessa legge seguita dalla tensione ai suoi capi:

Il modello termico del reostato viene scritto in forma approssimata nel software del computer di bordo del treno per avere sempre sotto controllo la temperatura.

Se la temperatura sale oltre una certa soglia, il reostato viene inibito e si utilizzano altri metodi per frenare (ad esempio, il freno meccanico simile a quello delle auto). Il computer di bordo del treno gestisce autonomamente queste logiche per garantire che la frenatura sia efficace in ogni condizione.

Evitare che il treno interferisca con l’ambi ente circostante: la compatibilità elettromagnetica

I disturbi elettromagnetici sono invisibili, ma molti indizi nella vita quotidiana ci segnalano la loro esistenza: sappiamo che in aereo bisogna spegnere il cellulare, personaggi televisivi come Capitan Ventosa girano per la penisola equipaggiati di antenne misurando campi elettromagnetici e avvisando dei possibili effetti sulla salute, se si riceve un messaggio o una telefonata mentre si ascolta la musica le interferenze possono essere rumorose… esiste anche una leggenda metropolitana secondo cui il tram di Padova e in grado di far suonare da sole le chitarre di un negozio di musica che si trova lungo il suo percorso.

I treni di norma sono manovrati da uno o due macchinisti ma l’intuito e la vista del macchinista, per quanto acuta, non bastano per garantire la sicurezza del viaggio. I treni possono viaggiare a velocità molto elevate (il Frecciarossa arriva a 300 km/h) e a causa delle ruote in ferro hanno distanze di frenatura molto lunghe. Inoltre si muovono su una rete molto complessa e affollata. I percorsi dei treni sono regolati da un sistema elettronico, detto segnalamento, che conosce in ogni istante la posizione di tutti i treni sulla linea, la loro velocità e la loro destinazione e regola automaticamente gli scambi per incanalarli sul binario corretto.

Il nuovo treno Italo (foto di Treno .Italo - NTV S.p.A / Creative Commons License)

 

In caso di anomalia, come un treno che corre a velocità eccessiva o che si avvicina troppo a un altro convoglio rischiando una collisione, il segnalamento blocca automaticamente i treni, comandando una frenatura rapida.

Il sistema di segnalamento, fondamentale per la sicurezza, utilizza una frequenza precisa per le comunicazioni con i treni che in Italia e 50 Hz. Per questo motivo, e importante che nessun segnale elettromagnetico, generato da un treno,  disturbi le comunicazioni su questa frequenza per non compromettere l’efficacia di un sistema di segnalamento. I treni generano inevitabilmente campi elettromagnetici.

I campi elettromagnetici, descritti dalle leggi di Maxwell, sono generati da correnti e tensioni che variano nel tempo. La presenza di correnti che variano nel tempo e proprio ciò che permette ai motori elettrici dei treni di generare trazione. Per non compromettere la sicurezza, si permette ai treni di generare disturbi elettromagnetici solo sulle frequenze che non vengono utilizzate dal segnalamento per le comunicazioni. Durante la progettazione, e quindi necessario capire su quali frequenze il treno genera segnali elettromagnetici, per assicurarsi che il segnalamento non sia disturbato.

I segnali elettromagnetici possono avere forme irregolari: come individuare le frequenze alle quali il segnale e più forte?

Si applica il teorema di Fourier: ogni funzione periodica s(t) può essere decomposta in una somma di segnali sinusoidali con diverse ampiezze e fasi, la cui frequenza e un multiplo intero della fondamentale. Ogni funzione periodica e insomma la sovrapposizione di onde fondamentali o armoniche, che hanno frequenze multiple della frequenza fondamentale. La figura mostra come una funzione periodica (in blu) venga approssimata come sovrapposizione di funzioni sinusoidali.

In base al teorema, ogni funzione periodica s(t) si può sviluppare in serie di Fourier, cioè nella somma di infinite funzioni sinusoidali (armoniche) con frequenze diverse:

Le armoniche più importanti di una funzione sono quelle che hanno un coefficiente An o Bn elevato: il segnale sarà soggetto a interferenze forti con segnali a quella frequenza.

Per i treni, si impone che l’ampiezza dell’armonica che corrisponde a 50Hz sia inferiore a una soglia prefissata: in questo modo il segnale non disturberà le comunicazioni del sistema di segnalamento. Per verificare se questo e rispettato, vengono svolti test per misurare lo spettro armonico del treno.

Conclusione

La Matematica (con la Fisica) e la base dell’Ingegneria, anche ferroviaria. L’Ingegneria rende la Matematica una scienza viva e fonte di diverse applicazioni, utile per creare macchine complesse.